แต่กำลังกลายเป็น “พายุลูกใหม่” ที่ถาโถมระบบสุขภาพของโลกและประเทศไทยอย่างรุนแรง ข้อมูลล่าสุดสะท้อนความจริงอันน่าตกใจว่า โรคมะเร็งกำลังเพิ่มขึ้นทุกปี ทั้งในจำนวนผู้ป่วยรายใหม่และผู้เสียชีวิต จนกลายเป็นหนึ่งในสาเหตุการตายอันดับต้น ๆ ของมนุษยชาติในศตวรรษนี้
ทุก ๆ วัน มีผู้คนหลายหมื่นคนทั่วโลกถูกวินิจฉัยว่าเป็นมะเร็ง และอีกหลายหมื่นคนต้องสูญเสียชีวิตจากโรคนี้


ในเชิงชีวเคมี การอักเสบเรื้อรังคือเครื่องขยายเสียงของสัญญาณผิดพลาดระดับเซลล์ ไซโตไคน์ก่อการอักเสบ อนุมูลอิสระ และสัญญาณการอยู่รอดของเซลล์ที่ถูกส่งต่อไม่รู้จบ จนเกิดการกลายพันธ์ และสร้าง “ระบบนิเวศน์จุลภาค (Microenvironment) ของมะเร็ง” ที่ฟูมฟัก เลี้ยงดูเนื้องอกมะเร็งให้เติบโต แพร่กระจาย ก้าวร้าว และหลบเลี่ยงการควบคุมของภูมิคุ้มกัน
ดังนั้น การรักษามะเร็งที่แท้จริง ไม่ใช่เพียงแค่การทำลายก้อน
แต่ก้าวแรก คือการที่ต้อง ตัดอาหาร คือการดับไฟอักเสบ ที่หล่อเลี้ยงเซลล์มะเร็ง
เมื่อโปรแกรมการอักเสบถูกปิด สัญญาณการเอาตัวรอดผิดทางจะเงียบลง
ไมโครเอ็นไวรอนเมนต์ที่ปกป้องและส่งเสริมมะเร็งจะหยูดลงและค่อย ๆ สลาย เซลล์มะเร็งสูญเสียแรงหนุน
ระบบการสร้างพลังงานลดลง อาหารและปัจจัยการเจริญเติบโตลดลง เซลล์มะเร็งจะถูกเหนี่ยวนำเข้าสู่โหมดพักตัว
และยอมรับการตาย เช่น Apoptosis อย่างดุลยภาพเช่นเดียวกับเซลล์ปกติ
เปิดเกราะป้องกันตัวเองทำให้เซลล์ระบบภูมิคุ้มกัน เช่น NK Cell , T Cell มองเห็นและจู่โจมทำลายได้
ร่างกายจึงมีโอกาสกลับคืนสู่สมดุลและฟื้นฟู
การรักษามะเร็งไม่ควรถูกวัดผลเพียงแค่ “ทำลายก้อนเนื้อได้หรือไม่” เพราะผลทางคลีนิคและงานวิจัยสมัยใหม่นั้น ล้วนแต่ยืนยันว่า การคิดว่าจะทำลายก้อนเนื้อให้หมดไปนั้นแต่อย่างเดียวนั้น เป็นแนวคิดและกลยุทธ์ที่ตื้นเขิน เพราะหลังจากนั้นมะเร็งจะกลับมา และเมื่อกลับมาจะเป็นการแพร่กระจายที่ทำให้อัตราการรอดชีวิตต่ำมาก ดังนั้น เป้าหมายการรักษาควรถูกประเมินจาก การควบคุมการดำเนินของโรค เช่น ก้อนเนื้อโตช้าลง ลดขนาด ไม่ก้าวร้าว และผลลัพธ์ต่อชีวิตของผู้ป่วยในระยะยาว
เป้าหมายสูงสุดของการรักษามะเร็งคือ การรักษาให้หายขาด หรืออย่างน้อยที่สุดทำให้โรคอยู่ในภาวะสงบ ไม่ลุกลาม ไม่แพร่กระจาย และสามารถใช้ชีวิตได้ตามปกติในระยะยาว
ในผู้ป่วยที่ไม่สามารถรักษาให้หายได้ การรักษาควรมุ่งเน้นที่ การควบคุมโรคให้ยาวนานที่สุด ยืดอายุการมีชีวิตอย่างมีคุณค่า ไม่ใช่เพียงยืดเวลาโดยแลกกับความทุกข์ทรมาน
การรักษาที่ดีต้องไม่สร้างความเสียหายเกินความจำเป็นต่อร่างกาย ไม่กระตุ้นการอักเสบ การดื้อยา หรือการแพร่กระจายของเซลล์มะเร็ง เพราะผลข้างเคียงที่รุนแรงอาจกลายเป็นปัจจัยเร่งโรค หรือเร่งการเสียชีวิตของผู้ป่วย
หัวใจของการรักษามะเร็งคือ “คุณภาพชีวิตของผู้ป่วย” ควบคู่กับประสิทธิผลการรักษา ซึ่งผู้ป่วยควร รับประทานอาหารได้ ขับถ่ายเป็นปกติ นอนหลับได้ดี มีเรี่ยวมีแรง ลดความเจ็บปวดและความทุกข์ทรมานจากโรค และไม่ได้ทำให้ทุกข์ทรมานเพิ่มขึ้น
ข้อจำกัดของการรักษาแผนปัจจุบัน กับความจริงที่ผู้ป่วยต้องเผชิญ มะเร็งไม่ใช่เพียง “ก้อนเนื้อผิดปกติ” แต่เป็น โรคเชิงระบบ (systemic disease) ที่เกี่ยวข้องกับ การอักเสบเรื้อรัง ระบบภูมิคุ้มกัน เมตาบอลิซึม ไมโครไบโอม ระบบหลอดเลือด และพันธุกรรมของเซลล์ อย่างไรก็ตาม แนวทางการรักษามะเร็งแผนปัจจุบันส่วนใหญ่ยังคงมุ่งเน้นการ “ทำลายก้อนมะเร็ง” เป็นหลัก โดยละเลยผลกระทบเชิงระบบที่เกิดขึ้นกับร่างกายผู้ป่วย ผลลัพธ์คือ แม้เทคโนโลยีจะก้าวหน้า แต่ อัตราการรอดชีวิตในมะเร็งระยะลุกลามยังคงต่ำอย่างน่ากังวล
ข้อมูลจากฐานข้อมูล SEER (USA), GLOBOCAN และงานทบทวนระบบ (systematic reviews) ระบุว่า

กล่าวอย่างตรงไปตรงมา ผู้ป่วยมะเร็งระยะแพร่กระจายส่วนใหญ่ที่ได้รับการรักษาในโลกปัจจุบัน มีอัตราการรอดชีวิตต่ำเพียง 10-20% เท่านั้น!
งานวิจัยด้าน oncology และ palliative medicine ระบุว่า
ผู้ป่วยมะเร็งจำนวนมาก มีคุณภาพชีวิตแย่ลงอย่างมีนัยสำคัญหลังการรักษา
ภาวะแทรกซ้อนที่พบได้บ่อย
ภาวะเม็ดเลือดขาวต่ำ → ติดเชื้อในกระแสเลือด
ภาวะโลหิตจางเรื้อรัง → อ่อนแรง เหนื่อยล้า
ภาวะเกล็ดเลือดต่ำ → เลือดออกง่าย
ความเสียหายของตับ ไต หัวใจ ปอด
ความผิดปกติของระบบประสาท
การทำลายไมโครไบโอมลำไส้อย่างรุนแรง
งานวิเคราะห์จาก Lancet Oncology และ JAMA Oncology รายงานว่า
ผู้ป่วยมะเร็งระยะลุกลามมีโอกาสเสียชีวิตจากภาวะแทรกซ้อนของการรักษา
สูงถึง 20–30% ในบางกลุ่มผู้ป่วย
งานวิจัยระดับ molecular oncology พบว่า การผ่าตัดกระตุ้นการหลั่ง cytokines, growth factors และ stress hormones ทำให้เกิด immunosuppression ชั่วคราว เพิ่มโอกาสที่ เซลล์มะเร็งหลุดรอดจะฝังตัวได้ง่ายขึ้น งานวิจัยใน Nature Reviews Cancer และ Cancer Research ระบุว่าช่วง perioperative period เป็นช่วงที่ CTCs (Circulating Tumor Cells) มีอัตราการรอดและเกาะติดสูงขึ้น นอกจากนี้ กระบวนการสมานแผลหลังผ่าตัดยังเปิด “โปรแกรมชีววิทยา” ที่กระตุ้นการแบ่งตัวของเซลล์ รวมถึงเซลล์มะเร็งที่เคยอยู่ในสภาวะพักตัว dormant ที่ฝังอยู่ตามอวัยวะต่าง ๆ ก็จะถูกปลุกให้ตื่น และเริ่มวงจรการแบ่งตัว
แม้เคมีบำบัดจะสามารถลดขนาดก้อนมะเร็งได้
แต่งานวิจัยจำนวนมากพบผลข้างเคียงเชิงระบบที่รุนแรง
ผลกระทบหลัก
ทำลายไขกระดูก → ภูมิคุ้มกันล้มเหลว
ทำลายไมโครไบโอม → เพิ่มการอักเสบเรื้อรัง เกิดการกลายพันธ์
ทำลายเซลล์เยื่อบุหลอดเลือด endothelial cells → หลอดเลือดเสื่อม
กระตุ้นอนุมูลอิสระและการอักเสบ oxidative stress และ DNA damage
งานวิจัยใน Cell, Nature Medicine และ PNAS รายงานว่า
เคมีบำบัดสามารถ กระตุ้น EMT คือกระบวนการทางชีววิทยาที่ เซลล์เยื่อบุ (epithelial cells)
เปลี่ยนสภาพเป็น เซลล์ลักษณะเมเซนไคม์ (mesenchymal-like cells) ในบริบทของมะเร็ง EMT คือ “สวิตช์”
ที่เปิดให้เซลล์มะเร็ง หลุดออกจากก้อนหลัก เคลื่อนที่ได้ และพร้อมแพร่กระจาย
เคมีบำบัดเพิ่ม stemness ของเซลล์มะเร็ง คือคุณสมบัติของเซลล์ที่ คล้ายเซลล์ต้นกำเนิด (stem cell-like properties) ในมะเร็ง หมายถึงกลุ่มเซลล์ย่อยที่เรียกว่า Cancer Stem Cells (CSCs) ซึ่งมีบทบาทชี้ขาดต่อการดื้อยา การเกิดซ้ำ การแพร่กระจายระยะไกล
เคมีบำบัดอาจทำให้เกิด drug-resistant aggressive clones คือการกลายพันธ์ที่ดื้อยาและก้าวร้าวมากขึ้นของเซลล์มะเร็ง
การฉายรังสีไม่เพียงทำลายเซลล์มะเร็งแต่ยังส่งผลต่อเซลล์ปกติรอบข้าง งานวิจัยใน Radiotherapy and Oncology และ Nature Communications พบว่ารังสีสามารถกระตุ้น Epithelial–Mesenchymal Transition (EMT) เพิ่มการหลุดของเซลล์มะเร็งเข้าสู่กระแสเลือด เพิ่มจำนวน CTCs (เซลล์มะเร็งแพร่กระจาย) หลังการรักษา
ความหวังระยะสั้น ค่าใช้จ่ายสูงลิบ ความเสี่ยงระยะยาว แม้ยามุ่งเป้าและภูมิคุ้มกันบำบัดจะให้ผลดีในช่วงแรก แต่ข้อมูลจริงพบว่าระยะเวลาที่ผู้ป่วยยังไม่เกิดการลุกลามของโรค หลังเริ่มการรักษา (Median PFS – Progression-Free Survival )มักอยู่ที่ 6–18 เดือนหลังดื้อยา มักเกิดการลุกลามอย่างรวดเร็ว ค่าใช้จ่ายสูงมาก เกิด immune-related adverse events งานวิจัยใน NEJM และ Lancet ระบุว่า immunotherapy ไม่ใช่การรักษาที่แก้รากของโรค แต่เป็นการยืดเวลาในผู้ป่วยบางกลุ่มที่ตอบสนอง
จากการวิจัยตำรับสมุนไพรอย่างเข้มข้นทั้งในเชิงกลไกทางชีวเคมี ในระดับเซลล์ หลอดทดลอง สัตว์ทดลอง และมนุษย์ในช่วงระยะกว่า 5 ปีที่ผ่านมา พบกลไกส่งเสริมการรักษามะเร็งเพื่อบูรณาการการรักษาให้ได้ผลสูงสุด
แนวทางบูรณาการผสานการแพทย์แผนปัจจุบันกับการแพทย์ทางเลือกเชิงวิทยาศาสตร์ เพื่อให้เกิดการออกฤทธิ์ร่วม (synergy) ระหว่างยาเคมีบำบัด ยามุ่งเป้า และสมุนไพร สมุนไพรบางชนิดเช่น KS–KERRA ช่วยกระตุ้น apoptosis และลดการอักเสบในไมโครเอนไวรอนเมนต์ ทำให้ยามีประสิทธิภาพมากขึ้น หลักฐานเชิงทดลอง: สมุนไพรเพิ่มประสิทธิภาพของเคมีบำบัดอย่างมีนัยสำคัญ
การวิจัยระดับเซลล์ (in vitro) พบว่าตำรับสมุนไพรไม่ได้ “ขัดขวาง” การทำงานของยาเคมีบำบัดแต่กลับสามารถ เสริมฤทธิ์ (synergistic effect) ให้ยาออกฤทธิ์ได้แรงขึ้น
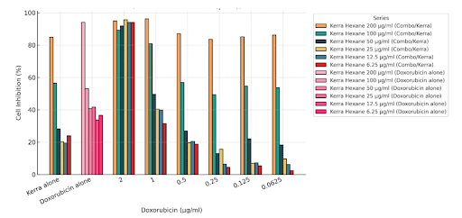
งานทดลองในเซลล์มะเร็งปอด (A549) พบว่า เมื่อมีการใช้ตำรับยาสมุนไพรเช่น KERRA ของศูนย์มะเร็ง ดร.ภัทร์
ร่วมกับยาเคมีบำบัด doxorubicin กลับพบว่าอัตราการตายของเซลล์มะเร็งเพิ่มขึ้นจาก 36.6%เป็น 86.2%ในความเข้มข้นของ doxorubicin เท่าเดิม หากคำนวณในเชิงประสิทธิภาพเชิงชีวภาพ คือการเพิ่มประสิทธิภาพในการทำลายเซลล์มะเร็งเพิ่มขึ้น 235%โดยไม่ต้องเพิ่มขนาดยาเคมีบำบัด
ความหมายทางคลินิกของผลลัพธ์นี้
ผลลัพธ์ลักษณะนี้มีความสำคัญอย่างยิ่ง เพราะสะท้อนว่า
โดยไม่จำเป็นต้องเพิ่มภาระความเป็นพิษต่อร่างกายผู้ป่วย
งานวิจัยในลักษณะเดียวกันนี้ได้รับการรายงานอย่างต่อเนื่องในวารสาร
เช่น Cancer Letters, Phytomedicine, Journal of Ethnopharmacology และ Oncotarget
งานวิจัยยังพบว่า สมุนไพรสามารถเสริมฤทธิ์ยามุ่งเป้า (targeted therapy) ได้อย่างมีนัยสำคัญ ตัวอย่างเช่น งานวิจัย Erlotinib ในมะเร็งปอด Erlotinib เป็นยามุ่งเป้ากลุ่ม EGFR-TKI ซึ่งใช้แพร่หลายในผู้ป่วยมะเร็งปอดบางชนิด จากการทดลองในหลอดทดลองพบว่าการใช้ erlotinib เพียงอย่างเดียวทำลายเซลล์มะเร็งได้ประมาณ 50% แต่เมื่อใช้ erlotinib ร่วมกับสารสกัดสมุนไพร AMC-1 อัตราการทำลายเซลล์มะเร็งเพิ่มขึ้นเป็น 90% หากประเมินในเชิงสัมพัทธ์นี่คือการเพิ่มประสิทธิภาพมากกว่า 87%โดยไม่เพิ่มขนาดยา erlotinib
งานวิจัยระดับ molecular oncology ที่แสดงให้เห็นจาก Proteomics ของเซลล์มะเร็งหลังจากได้รับสมุนไพร พบว่าสมุนไพรสามารถยับยั้ง signaling pathway ทางเลือก (bypass pathways) ลดการแสดงออกของ efflux transporters (เช่น ABC transporters) ลด oxidative stress ที่กระตุ้นการดื้อยา เสริมการทำงานของ apoptosis pathways ทั้งหมดนี้ช่วย “ยืดอายุการตอบสนองต่อยา” ซึ่งเป็นหนึ่งในปัญหาใหญ่ที่สุดของยามุ่งเป้าในทางคลินิก
การรักษาแบบบูรณาการมุ่งทั้งการฆ่าเซลล์มะเร็งและการปกป้องเซลล์ปกติ สมุนไพรและอาหารเสริมจากธรรมชาติลดอาการคลื่นไส้ อ่อนเพลีย เบื่ออาหาร และนอนไม่หลับ การฝึกหายใจ สมาธิ และดนตรีบำบัดช่วยลดระดับคอร์ติซอล ทำให้ภูมิคุ้มกันกลับมาสมดุล คุณภาพชีวิตของผู้ป่วยดีขึ้นทั้งทางร่างกายและจิตใจ
ยาเคมีบำบัดหลายชนิดทำให้ตับและไตทำงานหนักจนเกิดภาวะอักเสบ ในส่วนของตำรับสมุนไพรเช่น KERRA และ KS กระตุ้นเส้นทาง Nrf2–ARE เพิ่มการสร้างเอนไซม์ต้านอนุมูลอิสระ เช่น HO-1, GPx, SOD ช่วยลดระดับเอนไซม์ AST/ALT และ Creatinine และซ่อมแซมไมโตคอนเดรียของเซลล์ตับ ทำให้ผู้ป่วยทนต่อการรักษาได้นานขึ้นโดยไม่เกิดพิษสะสม
เซลล์มะเร็งมักสร้างโปรตีนขับยา (ABC transporters) และยีนต้าน apoptosis เพื่อหลบหลีกการรักษา งานวิจัยตำรับสมุนไพร เช่น ตำรับ KERRA สามารถยับยั้ง NF-κB, STAT3 และ PI3K/AKT ที่เป็นรากของการดื้อยา ยังปรับ epigenetic เช่นลด miR-21 และเพิ่ม miR-34a ที่ส่งเสริมการตายของเซลล์มะเร็ง ช่วยให้ยาที่เคยไม่ได้ผล กลับมามีประสิทธิภาพอีกครั้ง
สมุนไพรต้านอักเสบลดการกดภูมิคุ้มกันใน TME และกระตุ้น CTL, NK cell ให้ตอบสนองต่อยากลุ่ม checkpoint inhibitor ได้ดียิ่งขึ้น สารพฤกษเคมีเช่น curcumin, resveratrol และ triterpenoids ช่วยยับยั้ง DNA repair pathway ของเซลล์มะเร็ง ผลคือยาเคมีและ targeted therapy ออกฤทธิ์แรงขึ้น แต่ผลข้างเคียงกลับลดลง
มากกว่า 90% ของการเสียชีวิตจากมะเร็งเกิดจากการแพร่กระจาย งานวิจัยสมุนไพร เช่น ตำรับ KERRA ยับยั้ง EMT โดยเพิ่ม E-cadherin และลด N-cadherin, Vimentin, Snail ลด VEGF และ MMP-9 ทำให้หลอดเลือดใหม่ไม่เกิดและ CTC ไม่สามารถเกาะเนื้อเยื่อได้ เป็นการปิดเส้นทางการลุกลามตั้งแต่ต้นเหตุ
การทดลอง Clonogenic Assay คือการจำลองรูปแบบของการฟอร์มตัวของเซลล์มะเร็ง ว่าจากเซลล์มะเร็ง 1 เซลล์นั้น สามารถเติบโตฟอร์มตัวเป็นก้อนเนื้อได้หรือไม่ ผลคือ เซลล์มะเร็งปอด A549 ที่ได้รับ Doxorubicin ยังสามารถฟอร์มเป็นก้อนเนื้อได้ตามปกติ ในขณะที่ KERRA ที่ปริมาณความเข้มข้น 500 ug./ml สามารถยับยั้งได้ในรูปแบบขึ้นกับปริมาณ
เพื่อตรวจสอบว่า เซลล์มะเร็งที่รอดชีวิตหลังจากที่ถูกยาเคมี เปรียบเทียบกับตำรับสมุนไพรเคอร่า มีความแตกต่างกันอย่างไร การทดลองนี้ไม่ได้มองแค่คำถามว่า “เซลล์มะเร็งตายหรือไม่”แต่ตั้งคำถามที่ลึกกว่านั้น คือ “เซลล์มะเร็งที่ รอด มีพฤติกรรมแบบไหน และอันตรายแค่ไหนในระยะยาว” เพราะในทางคลินิก เซลล์ที่ฆ่าไม่หมดคือจุดเริ่มต้นของ การดื้อยา การแพร่กระจาย และการกลับมาเป็นซ้ำของมะเร็ง
เซลล์มะเร็งที่รอดชีวิตหลังได้รับ doxorubicin แสดงการเปลี่ยนรูปร่างอย่างชัดเจน จากเซลล์ที่เคยกลมและยึดติดกันแน่น กลายเป็นเซลล์ ยาวรี แผ่ขาเป็นแฉก (spindle-like) มีการยื่นส่วนปลายคล้ายแขนขาออกมารอบตัว ลักษณะนี้เป็น signature สำคัญของกระบวนการที่เรียกว่า EMT EMT (Epithelial–Mesenchymal Transition) คือกระบวนการที่เซลล์มะเร็ง “ถอดร่างจากเซลล์อยู่นิ่ง → เป็นเซลล์นักเดินทาง” ง่าย ๆ คือ จากเซลล์ที่อยู่เป็นกลุ่ม → กลายเป็นเซลล์ที่เคลื่อนที่ได้ จากเซลล์ที่ยึดติดแน่น → เป็นเซลล์ที่หลุดออกมาเดี่ยว ๆ ได้ จากเซลล์ที่ไม่แพร่กระจาย → เป็นเซลล์ที่พร้อมบุกและย้ายถิ่น นี่คือ รากฐานของการแพร่กระจาย (metastasis) กลไกชีวะเคมีที่อยู่เบื้องหลัง “เซลล์แผ่ขา” หลัง Doxorubicin
1. การจัดโครงสร้างภายในเซลล์ใหม่ (Cytoskeleton remodeling)
เซลล์กระตุ้นโปรตีนควบคุมการเคลื่อนไหว เช่น
Rho / Rac1 / Cdc42
ทำให้เส้นใย actin ภายในเซลล์เรียงตัวใหม่
เกิดส่วนยื่นที่เรียกว่า
lamellipodia และ filopodia (ขา/แฉก)
ผลลัพธ์: เซลล์ คลาน เคลื่อนที่
และเปลี่ยนตำแหน่งได้
2. ความสามารถในการบุกรุกเนื้อเยื่อ (Invasion)
เซลล์ EMT จะเพิ่มการสร้างเอนไซม์
MMPs (Matrix Metalloproteinases)
เอนไซม์เหล่านี้ทำหน้าที่ “ย่อยผนังเนื้อเยื่อรอบข้าง (ECM)”
เปิดทางให้เซลล์มะเร็งไหลออกจากตำแหน่งเดิม
ผลลัพธ์: เซลล์สามารถ
เจาะผ่านเนื้อเยื่อและแพร่กระจายได้ง่าย
3. การอยู่รอดในกระแสเลือด (CTC survival)
เมื่อเซลล์มะเร็งเข้าสู่กระแสเลือด
รูปร่างแบบยาวรีและมีขา
ช่วยให้ เกาะผนังหลอดเลือดได้ดี
ลดการตายจากการลอยเดี่ยว (anoikis)
เพิ่มโอกาส ลอดออกจากหลอดเลือด (extravasation)
ไปตั้งหลักที่อวัยวะใหม่ เช่น ตับ ปอด สมอง
นี่คือขั้นตอนสำคัญของ การเกิดมะเร็งระยะกระจาย
นี่คือขั้นตอนสำคัญของ
การเกิดมะเร็งระยะกระจาย
เซลล์มะเร็งที่รอดหลังได้รับ Kerra มีลักษณะตรงกันข้ามอย่างชัดเจน เซลล์ กลมเล็กยึดติดกันแน่นเป็นกลุ่ม ไม่แผ่ขา ไม่ยืดตัว ไม่เคลื่อนที่ กลไกชีวะเคมีของ Kerra ส่งเสริมลักษณะ epithelial phenotype เพิ่มการยึดติดระหว่างเซลล์ (เช่น E-cadherin) ลดสัญญาณการเคลื่อนไหวและ EMT ทำให้เซลล์ที่หลุดออกมาเดี่ยวๆ อยู่รอดยากและเข้าสู่ภาวะ dormancy คือพักตัว ไม่แบ่งตัว
การฆ่าเซลล์มะเร็งอย่างรุนแรงเพียงอย่างเดียว อาจแลกมาด้วยการคัดเลือก “เซลล์ที่ดื้อและแพร่กระจายเก่ง” ในขณะที่ตำรับสมุนไพรเคอร่า แม้อาจไม่ฆ่าเร็วเท่าเคมีแต่ ควบคุมพฤติกรรมของเซลล์ให้ไม่เข้าสู่โหมดแพร่กระจาย ซึ่งในเชิงชีววิทยาของมะเร็งการ “หยุดการแพร่กระจาย” สำคัญกว่าการ “ฆ่าให้เร็วแต่เหลือผู้รอดที่อันตรายกว่า”
ด้วยโมเดลการทดลองที่เรียกว่า Wound Healing Assay
การทดลองนี้ถูกออกแบบมาเพื่อตอบคำถามสำคัญในชีววิทยามะเร็งว่า เซลล์มะเร็งสามารถ “เคลื่อนที่และขยายพื้นที่” ได้ดีเพียงใด หลังได้รับสารทดสอบ ซึ่งพฤติกรรมดังกล่าวคือหัวใจของกระบวนการ การแพร่กระจาย (metastasis) ไม่ใช่แค่การตายของเซลล์ แต่คือ ความสามารถในการบุกรุกพื้นที่ใหม่
ผลที่พบจากการทดลองในภาพ
สอดคล้องกับการที่ยาเคมี ฆ่าเซลล์จำนวนมาก แต่คัดเลือกเซลล์ที่ทนยา ในเชิงกลไก เซลล์ที่รอดมักกระตุ้น stress-response pathways เกิดการปรับตัวผ่าน EMT-related signaling ทำให้ยังมีความสามารถในการเคลื่อนที่เหลืออยู่
ผลที่เห็นชัดคือ
ผลลัพธ์นี้บ่งชี้ว่า Kerra ไม่ได้เพียงทำให้เซลล์ “อ่อนแรง” แต่ รบกวนระบบชีวะเคมีที่ใช้ในการเคลื่อนที่โดยตรง
กลไกที่เป็นไปได้ ได้แก่
นี่คือการ
ตัดวงจรการแพร่กระจายตั้งแต่ต้นน้ำตำรับสมุนไพรไม่เพียงฆ่าเซลล์มะเร็งแต่ควบคุมวงจรการแบ่งตัว งานวิจัยพบว่าตำรับสมุนไพรเพิ่ม p21, p27, p53 และลด Cyclin D1/CDK4-6 ทำให้เซลล์หยุดแบ่งตัว ยับยั้งสัญญาณ MAPK และ mTOR ที่กระตุ้นการเจริญเติบโต จึงทำให้ก้อนมะเร็งโตช้าลงอย่างต่อเนื่อง และบางรายถึงขั้นหยุดขยายได้จริง
ต่างจากเคมีบำบัดที่มักกระตุ้นการ “ตื่น” และแบ่งตัวของเซลล์มะเร็ง เซลล์ที่เหลืออยู่หลังการรักษาแบบบูรณาการจะเข้าสู่ภาวะพักตัว การเพิ่ม p16–p53–Rb pathway และการลด TGF-β ทำให้มะเร็งไม่สามารถแบ่งตัวต่อได้ สภาพแวดล้อมภายในก้อนมะเร็งเปลี่ยนไปในทิศทางที่ไม่เอื้อต่อการโต มะเร็งจึงอยู่ในสภาวะสงบ (dormant state) ซึ่งปลอดภัยกว่าการพยายามฆ่าจนหมด ซึ่งแท้จริงแล้วการเสียชีวิตของผู้ป่วยมะเร็งนั้น เกิดจากการเจริญเติบโตของเซลล์มะเร็งอย่างรวดเร็ว และการแพร่กระจาย
งานวิจัยพบว่าตำรับสมุนไพรเพิ่มประสิทธิภาพของ NK Cell ในการทำลายเซลล์มะเร็ง นอกจากนั้นตำรับสมุนไพรเพิ่มการแสดงออกของ NKG2D ligands บนเซลล์มะเร็ง ทำให้ NK cell จำแนกได้ดีขึ้น ลด PD-L1, HLA-E, และ TGF-β ที่ยับยั้ง NK และ CTL ผลคือภูมิคุ้มกันตามธรรมชาติกลับมาทำงานเต็มที่อีกครั้ง
การอักเสบเป็นรากของทุกขั้นตอนมะเร็ง การรักษาแบบบูรณาการด้วยตำรับสมุนไพรทั้งในหลอดทดลอง สัตว์ทดลอง และในผู้ป่วย พบว่าช่วยลด NF-κB, IL-6, TNF-α และฟื้นฟูจุลชีพในลำไส้ เพิ่ม Faecalibacterium, Akkermansia, Roseburia ซึ่งผลิต butyrate ช่วยลดการอักเสบและกระตุ้นภูมิคุ้มกัน ทำให้สภาพภายในลำไส้และร่างกายโดยรวมกลับมาสมดุล ส่งผลต่อประสิทธิภาพของยาและพลังชีวิตโดยตรง
ภาพแสดงความหลากหลายของไมโครไบโอมที่เพิ่มขึ้นในอุจจาระของผู้ป่วย ก่อนและหลังการใช้การรักษาแบบบูรณาการ 30 วัน พบว่านอกจากความหลากหลายเพิ่มขึ้นแล้ว ยังมีจุลินทรีย์ดีเพิ่มมากขึ้นจำนวนมาก เช่นกลุ่ม Bifidobacterium ซึ่งมีบทบาทในการเสริม immune tolerance และลดการอักเสบของเยื่อบุลำไส้
กลุ่มผู้ผลิตกรดไขมันสายสั้น (short-chain fatty acids; SCFAs) เช่น Eubacterium rectale, Agathobaculum butyriciproducens, Dorea longicatena ซึ่งเกี่ยวข้องกับการผลิตบิวทีเรตและการเสริมความแข็งแรงของ gut barrier
กลุ่มที่ช่วยคงเสถียรภาพของระบบนิเวศลำไส้ ได้แก่จุลินทรีย์ในวงศ์ Lachnospiraceae และ Ruminococcaceae บางสายพันธุ์ ซึ่งมีบทบาทในการรักษาความสมดุลของไมโครไบโอมในระยะยาว จุลินทรีย์ร้ายลดลงหรือหายไป
นอกจากนั้น การอักเสบยังเป็นหัวใจของการขับเคลื่อนการเติบโตและแพร่กระจายของมะเร็ง
ไมโครไบโอมกับสมุนไพร: ทำไม “ปรับลำไส้” จึงลดการอักเสบได้
การอักเสบเรื้อรัง (chronic inflammation) ไม่ได้เริ่มที่จุดที่มีการอักเสบ เช่น “ก้อนเนื้อ” “ข้อ” หรือ “ผิว” หรือ “หลอดเลือด” เท่านั้น แต่จริง ๆ แล้วมันเริ่มที่ ลำไส้ ผ่านสิ่งที่เรียกว่า ไมโครไบโอม (microbiome) และโมเลกุลขนาดเล็กที่หลุดจากจุลินทรีย์เข้าสู่เลือด หนึ่งในตัวการสำคัญที่สุดคือ LPS ซึ่งเป็น “สวิตช์” เปิดการอักเสบของร่างกายในระดับยีน
ภาพงานวิจัย ใช้โมเดลมาตรฐานของการอักเสบ โดยกระตุ้นเซลล์ภูมิคุ้มกันด้วย LPS แล้ววัดสารชี้วัดสำคัญคือ Nitrite (NO₂⁻) เพื่อบอกว่า “การอักเสบถูกเปิดมากแค่ไหน” จากนั้นทดลองให้สารสกัดสมุนไพรหลายสูตร (เช่น KS, Kerra, Minoza) พบว่า Nitrite ลดลง และมีความสัมพันธ์แบบ dose-dependent (ขนาดยามากขึ้น ฤทธิ์ยิ่งชัด) แปลว่า “สมุนไพรปิดสวิตช์การอักเสบได้จริง”
เมื่อ “จุลินทรีย์เสียสมดุล” เช่น แบคทีเรียก่อการอักเสบเพิ่ม แบคทีเรียดีลด ส่งผลให้เกิดสารพิษจากโครงสร้างของแบคทีเรียแกรมลบ เช่น LPS (Lipopolysaccharide) คือ “โมเลกุลบนผนังเซลล์ของแบคทีเรียแกรมลบ” (Gram-negative bacteria) เมื่อหลุดเข้ากระแสเลือดจะทำหน้าที่เหมือนสัญญาณภัยคุกคาม กระตุ้นการอักเสบแรงมาก โดยจับกับตัวรับที่ชื่อ TLR4 (Toll-like receptor 4) คือตัวรับบนผิวเซลล์ร่างกายและเซลล์ภูมิคุ้มกัน (เช่น macrophage) ที่ “จับ LPS” แล้วส่งสัญญาณเข้าไปในเซลล์ กระตุ้นการแสดงออกของยีนอักเสบ NF-κB (Nuclear factor kappa B) เมื่อถูกเปิด จะสั่งให้เซลล์สร้างสารอักเสบจำนวนมาก รวมทั้งไซโตไคน์อักเสบ (เช่น TNF-α, IL-1β, IL-6) NF-κB จะสั่งให้สร้าง iNOS แล้ว iNOS จะผลิต Nitric Oxide (NO) ปริมาณมาก Nitric Oxide (NO) และ Nitrite (NO₂⁻) NO เป็นก๊าซโมเลกุลเล็กที่เกี่ยวกับหลอดเลือดและปฏิกริยาภูมิคุ้มกัน แต่ถ้าสูงมากจะสะท้อนการอักเสบ NO ไม่อยู่คงทนในน้ำ จึงสลายเป็น Nitrite (NO₂⁻) ดังนั้นงานวิจัยจึงวัด “Nitrite” เป็นตัวแทนของ “NO” เพื่อประเมินระดับการอักเสบ
ดังนั้น “ไมโครไบโอมเสียสมดุล” จึงเป็นรากของการอักเสบในระดับลึก ที่ควบคุมระบบการอักเสบและยีนการอักเสบทั้งหมด
สมุนไพรไม่จำเป็นต้อง “ฆ่าเชื้อ” ถึงจะลดอักเสบได้ เพราะมันทำงานได้หลายชั้น
(ก) ปิดสัญญาณ LPS → TLR4 → NF-κB
สารพฤกษเคมี (phytochemicals) หลายกลุ่ม เช่น โพลีฟีนอล ฟลาโวนอยด์ เทอร์พีนอยด์
สามารถลดการส่งสัญญาณของ TLR4/NF-κB ทำให้ยีนอักเสบถูกสั่งงานน้อยลง
(ข) ลดการสร้าง NO โดยกด iNOS
เมื่อ NF-κB ลดลง → iNOS ลดลง → NO ลดลง → Nitrite ลดลง
นี่คือสิ่งที่กราฟสะท้อนโดยตรง
(ค) ต้านอนุมูลอิสระ (ROS) เพื่อลดการอักเสบ
ROS (Reactive Oxygen Species) คือ “อนุมูลอิสระเชิงปฏิกิริยา”
ROS ทำหน้าที่เหมือนคันเร่งของ NF-κB
สมุนไพรที่เป็น antioxidant จะช่วยลด ROS ทำให้การอักเสบไม่ลุกลาม
(ง) ปรับสมดุลไมโครไบโอม
สมุนไพรทำหน้าที่คล้าย prebiotic (อาหารของจุลินทรีย์ดี)
เมื่อจุลินทรีย์ดีเพิ่มขึ้น จะสร้าง SCFAs เช่น butyrate
Butyrate ช่วยเสริม tight junction ลดลำไส้รั่ว
ลดการรั่วของ LPS → ลดการกระตุ้น TLR4 ตั้งแต่ต้นน้ำ
สรุปคือ สมุนไพรลดอักเสบได้ทั้ง
“ปลายน้ำ” โดยการกด NF-κB/iNOS/NO
และ “ต้นน้ำ” คือการลด LPS ด้วยการฟื้นสมดุลลำไส้ สร้างสมดุลย์ระบบนิเวศน์ลำใส้นั่นเอง
หนึ่งในคุณลักษณะสำคัญของเซลล์มะเร็งคือ ความสามารถในการสร้างพลังงานสูงผิดปกติผ่านกระบวนการที่เรียกว่า metabolic reprogramming (เช่น Warburg effect) งานวิจัยด้าน cancer metabolism พบว่าเซลล์มะเร็งต้องการพลังงานจำนวนมากเพื่อการแบ่งตัวอย่างรวดเร็ว การรุกรานเนื้อเยื่อ การแพร่กระจายไปยังอวัยวะอื่น
งานวิจัยในเซลล์มะเร็งตับ
พบว่าตำรับสมุนไพร เช่น KS ลดระดับของ ATP ในเซลล์มะเร็งตับลงได้สูงสุดถึง 94.5% ซึ่งเป็นผลจาก
กลไกยับยั้ง glycolysis ลดการทำงานของ mitochondrial overdrive
กดการแสดงออกของเอนไซม์ที่เกี่ยวข้องกับการสร้างพลังงานของเซลล์มะเร็ง กระตุ้น autophagy แบบคัดเลือก
(selective autophagy)
ผลลัพธ์คือ เซลล์มะเร็ง “ขาดพลังงาน” การขยายตัวและการรุกรานจึงหยุดลง
ในขณะที่การทดลองนี้พบเรื่องที่น่าสงสัย คือ “ยาปฏิชีวนะ” เช่น Amoxicillin กลับเพิ่มระดับของพลังงาน
ATP ในเซลล์มะเร็งขึ้นถึง 238% เหมือนเป็นแรงขับให้มะเร็งก้าวร้าวและแข็งแรงมากขึ้น
สมุนไพรมีฤทธิ์เป็น “epigenetic modulator” ปรับการเปิด–ปิดของยีนสำคัญ เช่น p53, BRCA1, PTEN ยับยั้ง DNMT และ HDAC ที่ทำให้ยีนกดมะเร็งถูกปิด ฟื้นฟูสมดุลการแสดงออกของยีนทั้งระบบ (gene expression homeostasis) ทำให้การทำงานของเซลล์กลับสู่ภาวะปกติ และมะเร็งเติบโตช้าลง
Integrative oncology มุ่งเน้นการควบคุมกับโรคอย่างยั่งยืน การปรับยีน, ภูมิคุ้มกัน, และระบบพลังงานร่วมกันช่วยลดความเสี่ยงการกลับเป็นซ้ำ สมุนไพรกลุ่ม adaptogen และ antioxidant ลดภาวะชราในระดับเซลล์ (cellular senescence) ผู้ป่วยมีแนวโน้มมีชีวิตยืนยาวขึ้นด้วยสุขภาพและพลังชีวิตที่ดี
การรักษาแบบบูรณาการมองทั้งร่างกายเป็นระบบเดียวกัน จึงมุ่งปกป้องหัวใจ หลอดเลือด สมอง ระบบประสาท และระบบต่อมไร้ท่อที่ถูกยาเคมีทำลาย สมุนไพรและโภชนบำบัดช่วยลดภาวะ oxidative stress และปรับสมดุลฮอร์โมน เป็นการ “รักษาทั้งร่างกาย” ไม่ใช่เฉพาะก้อนมะเร็ง
จิตใจมีผลต่อภูมิคุ้มกันอย่างลึกซึ้ง การรักษาแบบบูรณาการรวมทั้งการสร้างเสริมวิถีชีวิต แนวทางจิตบำบัด สมาธิ และกิจกรรมช่วยลดคอร์ติซอล เพิ่มสารแห่งความสุข (เซโรโทนิน โดปามีน) และเสริมการทำงานของระบบประสาทวากัส ผู้ป่วยรู้สึกสงบ มีกำลังใจ และเชื่อมโยงกับการรักษาในเชิงบวก การหายจากมะเร็งจึงไม่ใช่เพียงทางกาย แต่คือการ “ฟื้นคืนสมดุลของชีวิตทั้งระบบ”
การรักษามะเร็งแบบบูรณาการไม่ใช่เพียงทางเลือก แต่คือ “วิวัฒนาการใหม่ของการแพทย์” มันมุ่งคืนสมดุลในทุกระดับ — เซลล์ ยีน ภูมิคุ้มกัน จิตใจ และพลังชีวิต เป้าหมายสูงสุดไม่ใช่แค่การกำจัดมะเร็ง แต่คือการ “อยู่ร่วมกับชีวิตอย่างมีคุณภาพ ยืดอายุ และคืนความเป็นมนุษย์อย่างสมบูรณ์”
เกือบสิบปีของการศึกษาวิจัยพัฒนาตำรับสมุนไพรในกระบวนการรักษามะเร็งอย่างลึกซึ้งและเข้มข้นของศูนย์มะเร็ง ดร.ภัทร์ เราได้ค้นพบพหุกลไกของตำรับสมุนไพรในการยับยั้งการดำเนินโรคมะเร็ง ตัดเส้นทางปัจจัยที่ส่งเสริมมะเร็ง ซึ่งเป็นกระบวนการซับซ้อนที่เกี่ยวข้องกับการอักเสบเรื้อรัง ความผิดปกติของเมแทบอลิซึม พลังงานของเซลล์ การทำงานของยีน การสร้างหลอดเลือดใหม่ และพฤติกรรมของเซลล์มะเร็งที่สามารถแพร่กระจายไปยังอวัยวะต่าง ๆ การควบคุมโรคอย่างมีประสิทธิภาพ ซึ่งไม่ได้อาศัยเพียงกลไกเดียว แต่ต้อง แก้หลายจุดพร้อมกัน เพื่อปิดระบบขับเคลื่อนของมะเร็งทุกด้าน ด้วยกลไกต่าง ๆ ทางชีวเคมีของสมุนไพร กล่าวคือ
การอักเสบเรื้อรังทำหน้าที่เป็น “เครื่องยนต์ตั้งต้น” ของมะเร็ง กระตุ้นเส้นทาง NF-κB, IL-1β, IL-6, TNF-α และ ROS ให้เพิ่มสูงขึ้น ทำให้เกิด DNA damage และการกลายพันธุ์ต่อเนื่อง การลดการอักเสบในระดับเซลลูลาร์ช่วยเปลี่ยนสภาพแวดล้อมรอบเซลล์มะเร็งให้กลับสู่ภาวะสมดุล ลดการเติบโตและลดความสามารถในการดื้อยา
เซลล์มะเร็งพึ่งพาการสร้างพลังงานแบบ glycolysis แม้มีออกซิเจน (aerobic glycolysis) ซึ่งเป็นลักษณะของ Warburg effect ทำให้มะเร็งสามารถเติบโตได้อย่างรวดเร็ว การยับยั้งเอนไซม์ เช่น HK2, LDH-A และการลดการไหลเข้าของกลูโคส ทำให้เซลล์มะเร็งขาดพลังงานและเข้าสู่โหมดอ่อนแรง (metabolic suppression) ความสามารถในการแบ่งตัวจึงลดลงอย่างมาก
หลอดเลือดใหม่คือ “ท่อน้ำท่ออาหาร” ของก้อนมะเร็งที่เติบโตอย่างรวดเร็วผ่านสัญญาณ VEGF, PDGF และ FGF การลด angiogenesis ทำให้ก้อนมะเร็งถูกจำกัดไม่ให้ได้รับออกซิเจนและสารอาหารเพียงพอ ผลคือเนื้องอกจะชะลอการโต ลดการรุกราน และลดความเสี่ยงการแพร่กระจาย
เมื่อแรงขับเคลื่อนการเติบโตถูกตัด ระบบควบคุมความปลอดภัยของร่างกายสามารถสั่งให้เซลล์มะเร็งตายได้โดยผ่าน
การเพิ่มอัตราการตายของเซลล์มะเร็งช่วยลดจำนวนก้อนเนื้องอกและลดเซลล์ที่มีศักยภาพสูงต่อการแพร่กระจาย
ยีนเหล่านี้คือ “ตัวเร่งความรุนแรงของเนื้องอก”
การลดการแสดงออก (down-regulation) ของยีนเหล่านี้จึงเป็นการตัดวงจรการเติบโตที่ผิดปกติของเนื้องอกโดยตรง
p53 เป็นยีนผู้พิทักษ์ที่คอยตรวจสอบความเสียหายของ DNA หากเซลล์เสียหายมาก p53 จะสั่งหยุดวงจรเซลล์ (cell cycle arrest) หรือสั่งให้เซลล์ตาย การฟื้นฟูการทำงานของ p53 จึงช่วยลดการแบ่งตัวผิดปกติ เพิ่มการกำจัดเซลล์มะเร็ง และทำให้เนื้องอกตอบสนองต่อการรักษาอื่นได้ดีขึ้น
ตำรับสมุนไพรช่วยปรับโมดุลสัญญาณ ERK, p38 เป็นผู้กำหนดชะตาเซลล์
การผลักเซลล์มะเร็งเข้าสู่ภาวะพักตัวทำให้การโตช้าลง เป็นการยืดอายุการควบคุมโรคและลดความเสี่ยงของการกลับเป็นซ้ำ
การแพร่กระจายคือสาเหตุการเสียชีวิตอันดับหนึ่งของผู้ป่วยมะเร็ง การยับยั้งกระบวนการนี้จำเป็นต้องควบคุมหลายระบบร่วมกัน ได้แก่:
8.1 ETC (Epithelial-to-circulating
transition)
หยุดขั้นตอนที่เซลล์มะเร็งหลุดจากเนื้อเยื่อเดิม
ลดความสามารถในการแหวกชั้นเนื้อเยื่อและเข้าสู่กระแสเลือด
8.2 CTC (Circulating Tumor Cells)
ยับยั้งการอยู่รอดของเซลล์มะเร็งในกระแสเลือด
ลดการยึดเกาะกับผนังหลอดเลือด ป้องกันไม่ให้เกิดจุดตั้งรกรากใหม่ (metastatic niche)
8.3 EMT (Epithelial-Mesenchymal Transition)
ทำให้เซลล์มะเร็ง
“กลับมานั่งนิ่ง”
ผลรวมคือการ ปิดโปรแกรม metastasis ทั้งระบบ ลดความเสี่ยงการกระจายไปตับ ปอด กระดูก หรือสมองอย่างมีนัยสำคัญ
หลักฐานเชิงสถิติจากการทดลอง co-culture ระหว่างตำรับสมุนไพรกับ NK cell และเซลล์มะเร็งปอด ข้อมูลจากการทดลองในภาพชุดนี้แสดงให้เห็นอย่างชัดเจนว่าตำรับสมุนไพร สามารถ “เปิดระบบการทำงานของ NK cell” และเพิ่มประสิทธิภาพการทำลายเซลล์มะเร็งได้อย่างมีนัยสำคัญทางสถิติ โดยสามารถเพิ่มประสิทธิภาพของการทำลายเซลล์มะเร็งของ NK cell เพิ่มขึ้นเกือบ 40%
โดยที่ NK cell เดี่ยวฆ่าเซลล์มะเร็งได้ ~49% เมื่อเติม KS → การฆ่าเพิ่มเป็น ~69% การเพิ่มขึ้นนี้ ไม่ใช่ผลบวกธรรมดา แต่เป็น synergistic effect
ฐานข้อมูล Proteomics พบว่า เมื่อเซลล์มะเร็งรอดชีวิตจากการใช้ตำรับสมุนไพร
จะมีการเปลี่ยนแปลงของการแสดงออกของการสร้างโปรตีนที่เปลี่ยนแปลงไปทั้งระบบ
ที่แสดงออกจากฐานข้อมูลโปรตีนที่เปลี่ยนแปลงกว่า 3,000 ชนิด โดยที่สัญญาณอักเสบลดลง
ยีนสร้างการอักเสบลด ยีนต้านการอักเสบถูกแสดงออกเพิ่มขึ้น พลังงานถูกจำกัด หลอดเลือดใหม่ลดลง
ยีนมะเร็งถูกปิด ยีนต้านมะเร็งถูกเปิด และโปรแกรมแพร่กระจายถูกหยุด —
เซลล์และเนื้อเยื่อรอบก้อนมะเร็งจะกลับสู่สภาวะสมดุล (homeostasis)
ลักษณะการแสดงออกของโปรตีนใกล้เคียงกับเซลล์ปกติมากขึ้น
ผลลัพธ์คือ
กระบวนการนี้คือหัวใจของ การควบคุมมะเร็งแบบองค์รวม (Systemic Cancer Suppression) ที่สามารถอธิบายผลการรักษาของผู้ป่วยที่ตอบสนองเกินความคาดหมายจากมาตรฐานทั่วไป
พหุกลไกทั้ง 10 ข้อทำงานเกื้อหนุนกันเป็นระบบ ตั้งแต่ระดับสัญญาณการอักเสบ เมแทบอลิซึม พลังงาน การตายของเซลล์ การทำงานของยีน การสร้างหลอดเลือด การหยุดโปรแกรมการแพร่กระจาย ไปจนถึงการฟื้นสมดุลทั้งระบบ ทำให้เกิดผลรวมคือ
เป็นรากฐานของการแพทย์บูรณาการในการควบคุมมะเร็งระยะลุกลามได้อย่างมีประสิทธิภาพ
เวชศาสตร์รากฐาน คือการแพทย์ที่มองโรคจาก “รากของการมีชีวิต” ไม่ใช่เพียงจากอาการหรืออวัยวะปลายทาง หัวใจของเวชศาสตร์รากฐานคือ กุญแจ 3 ดอก ได้แก่ Microbiome Intelligence (ความสมบูรณ์ระบบนิเวศน์จุลภาค), Metabolic Energy (คุณภาพและจังหวะของพลังงาน), และ Biological Dynamics (การกำกับและการสื่อสารของระบบ)
เมื่อกุญแจทั้งสามถูกไขอย่างถูกต้อง ร่างกายจะกลับมาควบคุมและซ่อมแซมตนเองได้ การแสดงออกของยีนกลับมาสู่โหมดปกติ เกิดขึ้น มีชีวิต ขยายตัว และตายลงตามวัฏจักรเซลล์ที่สมดุลย์และถูกต้อง
บันได 9 ขั้น คือแนวทางการฟื้นฟูอย่างเป็นลำดับจากฐานสู่ระบบ เพื่อคืนสมดุลอย่างยั่งยืน เวชศาสตร์รากฐานจึงไม่เพียงรักษาโรค แต่ฟื้น “ปกติสภาวะ” ของชีวิตทั้งระบบ

“เริ่มเร็วที่สุด คือดีที่สุด” อย่าช้า และอย่ารอ มะเร็งนั้นโตและแพร่กระจายได้ทุกวินาที ตำรับสมุนไพรมีประสิทธิภาพสูงในการตัดวงจรการเติบโตและลุกลามของมะเร็ง โดยที่ไม่มีผลข้างเคียงและไม่เป็นพิษต่อเซลล์ปกติ
เพื่อลดการอักเสบ ลดการกระตุ้นเซลล์มะเร็งที่ซ่อนอยู่ให้ตื่นและแบ่งตัว
การผ่าตัดกระตุ้นกระบวนการอักเสบและการซ่อมแซมบาดแผล ซึ่งเกี่ยวข้องกับไซโตไคน์หลายชนิด เช่น
เพิ่มประสิทธิภาพ ลดผลข้างเคียง และปกป้องอวัยวะสำคัญ เคมีบำบัดมีบทบาทสำคัญในการทำลายเซลล์มะเร็ง แต่ผลข้างเคียงจากความเป็นพิษของยามักส่งผลต่อตับ ไต หลอดเลือด สมอง ม้าม ระบบภูมิคุ้มกัน ตำรับสมุนไพรสามารถใช้ร่วมกับเคมีบำบัดเพื่อ เพิ่มความไวของเซลล์มะเร็งต่อยา ลดพลังงานของเซลล์มะเร็ง ทำให้ยาออกฤทธิ์ได้ดีขึ้น ลดผลข้างเคียง เช่น คลื่นไส้ อาเจียน อ่อนเพลีย ปกป้องตับและไตจากการทำลายของยา ลดการอักเสบของหลอดเลือดและเนื้อเยื่อปกติ ผลลัพธ์คือ ผู้ป่วยสามารถทนต่อการรักษาได้ดีขึ้น ไม่ต้องลดขนาดยา หรือหยุดการรักษากลางคัน
ยับยั้ง EMT และการแพร่กระจายหลังฉายรังสี งานวิจัยจำนวนมากพบว่า แม้การฉายรังสีจะสามารถลดขนาดก้อนเนื้องอกหลักได้ แต่รังสีกลับสามารถกระตุ้น EMT (Epithelial–Mesenchymal Transition) เพิ่มการเกิด CTC (Circulating Tumor Cells) เพิ่มความเสี่ยงของการแพร่กระจายระยะยาว
การใช้ตำรับสมุนไพรควบคู่กับการฉายรังสีช่วยให้ เพิ่มประสิทธิภาพการทำลายเซลล์มะเร็ง ทำให้เซลล์มะเร็งตายมากขึ้นในขนาดรังสีเท่าเดิม ยับยั้ง EMT และการหลุดของเซลล์มะเร็ง ลดผลข้างเคียงต่อเนื้อเยื่อปกติ ช่วยฟื้นฟูเนื้อเยื่อหลังฉายรังสีได้เร็วขึ้น แนวทางนี้ช่วยให้การฉายรังสี ไม่กลายเป็นตัวเร่งการแพร่กระจายของโรค
ยืดระยะการดื้อยา และลดการกลายพันธุ์ที่ก้าวร้าว ยามุ่งเป้าและภูมิคุ้มกันบำบัดให้ผลลัพธ์ที่ดีในผู้ป่วยบางกลุ่ม แต่ปัญหาสำคัญคือ การดื้อยาในระยะต่อมา ตำรับสมุนไพรช่วยลดความเครียดเชิงชีวภาพของเซลล์มะเร็ง ลดการอักเสบที่กระตุ้นการกลายพันธุ์ยับยั้งการเกิด clone ของเซลล์ดื้อยา ยืดระยะเวลาการตอบสนองต่อยา ลดความก้าวร้าวของเซลล์มะเร็งหลังดื้อยา ส่งผลให้การรักษามีประสิทธิภาพยาวนานขึ้น และช่วยยืดระยะการควบคุมโรค PFS (Progression-Free Survival)
หัวใจของการรักษามะเร็งแบบบูรณาการนั้น ไม่ใช่เพียงการควบคุมก้อนมะเร็ง แต่คือการดูแล “ทั้งร่างกายและชีวิตของผู้ป่วย”

ที่ศูนย์มะเร็ง ดร.ภัทร์ ได้ทำการวิจัยตำรับสมุนไพรนับพันตำรับในด้านประสิทธิภาพและความปลอดภัย แล้วคัดเลือกนำมาใช้บูรณาการในศูนย์มะเร็ง ดร.ภัทร์ ด้วยกลไกทางชีวเคมีที่แตกต่าง ในมะเร็งแต่ละชนิด
ทางเลือกเพื่อควบคุมโรค ป้องกันการเป็นซ้ำ และเสริมคุณภาพชีวิตในระยะยาว
ตั้งแต่ระยะเริ่มต้น จนถึงระยะลุกลาม ใช้เป็นทางเหลือกหลักในการรักษา หรือใช้ร่วมกับการรักษาหลัก เช่น ผ่าตัด เคมีบำบัด ฉายรังสี ยามุ่งเป้า หรือภูมิคุ้มกันบำบัด
ประโยชน์ที่ชัดเจน
ปัจจุบัน อัตราการเกิดโรคมะเร็งเพิ่มสูงขึ้นอย่างต่อเนื่องทั่วโลก การรอให้เกิดโรคแล้วจึงรักษา อาจไม่ใช่คำตอบที่ดีที่สุดอีกต่อไป แนวทางบูรณาการสามารถนำมาใช้ใน คนทั่วไปที่ยังไม่เป็นมะเร็ง เพื่อป้องกันและลดความเสี่ยงในการเกิดโรค โดยเฉพาะกลุ่มเสี่ยงสูง เช่น
เป้าหมายของการป้องกัน
หนึ่งในปัญหาที่สำคัญที่สุดของมะเร็งคือ การกลับมาเป็นซ้ำ (Recurrence) การ “รอเวลาแล้วตรวจติดตามอย่างเดียว”อาจไม่เพียงพอในผู้ป่วยที่เคยเป็นมะเร็งมาก่อน เพราะมะเร็งที่กลับมาเป็นซ้ำมักมีลักษณะ
แนวทาง เวชศาสตร์รากฐานแบบบูรณาการจึงมีบทบาทสำคัญในการป้องกันการเป็นซ้ำและสร้างเสริมสุขภาพไปพร้อม ๆ กัน
เกือบ 10 ปีของการวิจัยอย่างเข้มข้น ด้วยความทุ่มเททั้งแรงกายแรงใจและทรัพยากรของทีมวิจัย ซึ่งมีภาคีเครือข่ายทั้งในประเทศไทยและประเทศอินเดีย ด้วยความร่วมมือของหลายสถาบันและมหาวิทยาลัยชั้นนำ เช่น มหาวิทยาลัยเกษตรศาสตร์ มหาวิทยาลัยวลัยลักษณ์ มหาวิทยาลัยเชียงใหม่ สถาบันบรมราชชนก ได้ทำการวิจัยทดสอบทางวิทยาศาสตร์ด้านความปลอดภัย–ประสิทธิภาพ และกลไกการออกฤทธิ์เชิงลึก** ตีพิมพ์งานวิจัยกว่า 10 ฉบับทั้งในและต่างประเทศ
ลำดับงานวิจัยเคอร่าที่อ้างถึงในบทความนี้ และการเข้าถึง (คลิก)